Home Browse Text SearchFunctional Group SearchStructure SearchPreferences Administration

selected data collection: 1

IRIS SDF: browse content


1
  <<    <    >    >>  

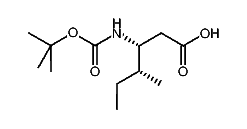
1:344054 C9H17NO4
hit structure
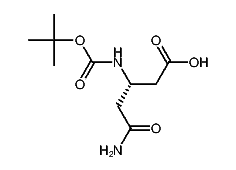
1:344055 C10H18N2O5
hit structure
1:344056 C12H23NO4
hit structure
1:344057 C12H23NO4
hit structure
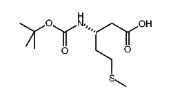
1:344058 C11H21NO4S
hit structure
1:344059 C18H32N2O8Se2
hit structure
1:344060 C27H34N2O6
hit structure
1:344061 C14H16N2O6
hit structure
1:344062 C14H17NO4
hit structure
1:344063 C27H40N4O7S
hit structure
1:344064 C27H43N7O7S
hit structure
1:344065 C8H17NO3
hit structure
1:344066 C8H17NO3
hit structure
1:344067 C16H24N2O5
hit structure
1:344068 C10H21NO3
hit structure
1:344069 C8H17NO3
hit structure
1:344070 C16H24N2O5
hit structure
1:344071 C14H21NO3
hit structure
1:344072 C10H19NO3
hit structure
1:344073 C5H11NO3
hit structure
1:344074 C11H21NO3
hit structure
1:344075 C10H21NO3
hit structure
1:344076 C7H15NO3
hit structure
1:344077 C8H17NO3
hit structure
1:344078 C10H21NO3S
hit structure

1
  <<    <    >    >>  

entries in data collection: 413394