Home Browse Text SearchFunctional Group SearchStructure SearchPreferences Administration

selected data collection: 1

IRIS SDF: browse content


1
  <<    <    >    >>  

1:343429 C19H28N2O6
hit structure
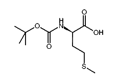
1:343430 C10H19NO4S
hit structure
1:343431 C14H18FNO4
hit structure
1:343432 C14H17Cl2NO4
hit structure
1:343433 C14H17F2NO4
hit structure
1:343434 C14H18FNO4
hit structure
1:343435 C14H18INO4
hit structure
1:343436 C14H18BrNO4
hit structure
1:343437 C14H18FNO4
hit structure
1:343438 C15H21NO4
hit structure
1:343439 C14H20N2O4
hit structure
1:343440 C29H30N2O6
hit structure
1:343441 C14H18N2O6
hit structure
1:343442 C14H14F5NO4
hit structure
1:343443 C10H15NO4
hit structure
1:343444 C16H23NO5
hit structure
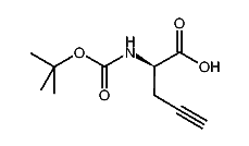
1:343445 C11H21NO4
hit structure
1:343446 C21H23Cl2NO5
hit structure
1:343447 C21H25NO5
hit structure
1:343448 C18H21NO4
hit structure
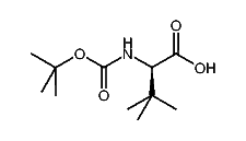
1:343449 C9H17NO4
hit structure
1:343450 C16H21NO4
hit structure
1:343451 C18H21NO4
hit structure
1:343452 C13H18N2O4
hit structure
1:343453 C21H34N4O7S
hit structure

1
  <<    <    >    >>  

entries in data collection: 403330