Home Browse Text SearchFunctional Group SearchStructure SearchPreferences Administration

selected data collection: 1

IRIS SDF: browse content


1
  <<    <    >    >>  

1:342697 C65H54N2O6
hit structure
1:342698 C66H56N2O6
hit structure
1:342699 C59H53N3O7
hit structure
1:342700 C57(13C)5H63N(15N)4O8S
hit structure
1:342701 C43(13C)6H46N(15N)O5
hit structure
1:342702 C48(13C)6H55N(15N)2O7
hit structure
1:342703 C43(13C)5H44N(15N)O5
hit structure
1:342704 C9H25NO
hit structure
1:342705 C25H30N2
hit structure
1:342706 C21H21NS
hit structure
1:342707 C61H66N4O10
hit structure
1:342708 C46H60N4O13
hit structure
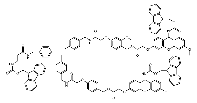
1:342709 C125H120N6O22
hit structure
1:342710 C110H114N6O25
hit structure
1:342711 C96H97N7O14
hit structure
1:342712 C34H33NO5
hit structure
1:342713 C33H31NO5
hit structure
1:342714 C36H37NO5
hit structure
1:342715 C33H31NO5
hit structure
1:342716 C34H33NO5
hit structure
1:342717 C41H46N2O7
hit structure
1:342718 C40H42N2O7
hit structure
1:342719 C46H52N4O7S
hit structure
1:342720 C51H48N2O7
hit structure
1:342721 C35H31NO5
hit structure

1
  <<    <    >    >>  

entries in data collection: 342946