Home Browse Text SearchFunctional Group SearchStructure SearchPreferences Administration

selected data collection: 1

IRIS SDF: browse content


1
  <<    <    >    >>  

1:342597 C30H35NO5
hit structure
1:342598 C35H44N2O7
hit structure
1:342599 C29H33NO5S
hit structure
1:342600 C30H35NO5
hit structure
1:342601 C34H42N2O7
hit structure
1:342602 C33H33NO5
hit structure
1:342603 C29H31NO5
hit structure
1:342604 C31H37NO6
hit structure
1:342605 C32H39NO6
hit structure
1:342606 C37H41NO6
hit structure
1:342607 C29H33NO5
hit structure
1:342608 C40H42N2O7
hit structure
1:342609 C89H91N7O14
hit structure
1:342610 C96H98N8O15
hit structure
1:342611 C25H50N4O6
hit structure
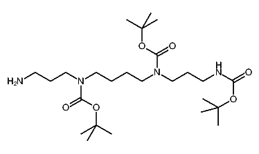
1:342612 C20H42N4O4
hit structure
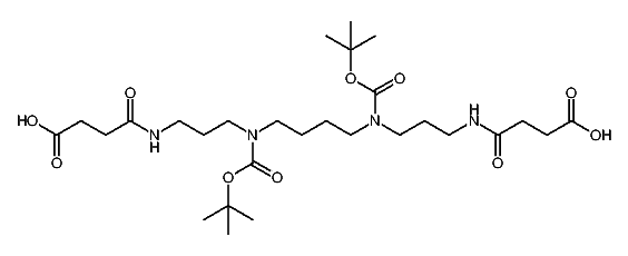
1:342613 C39H56N4O9
hit structure
1:342614 C10H24N6
hit structure
1:342615 C31H58N4O10
hit structure
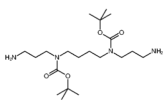
1:342616 C20H42N4O4
hit structure
1:342617 C10H22N8
hit structure
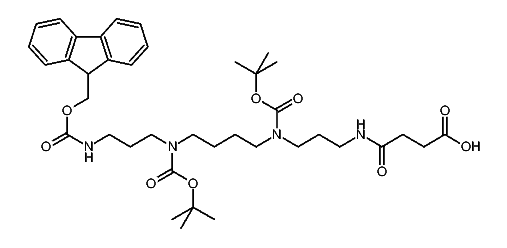
1:342618 C29H54N4O9
hit structure
1:342619 C25H48N6O6
hit structure
1:342620 C28H50N4O10
hit structure
1:342621 CH2Cl2
hit structure

1
  <<    <    >    >>  

entries in data collection: 363074