Home Browse Text SearchFunctional Group SearchStructure SearchPreferences Administration

selected data collection: 1

IRIS SDF: browse content


1
  <<    <    >    >>  

1:342279 C29H39N9O4S
hit structure
1:342280 C28H39N7O4S
hit structure
1:342281 C22H26F5N3O4S
hit structure
1:342282 C8H10S2
hit structure
1:342283 C15H16N2O3S2
hit structure
1:342284 C10H12O5S
hit structure
1:342285 C26H27F4N4NaO10S
hit structure
1:342286 C7H14N2
hit structure
1:342287 C15H12N5NaO7S
hit structure
1:342288 C20H18N2O3S2
hit structure
1:342289 C10H13N5O3
hit structure
1:342290 C18H18N6O2
hit structure
1:342291 C27H36N6O7
hit structure
1:342292 C10H10N2O3
hit structure
1:342293 C19H23N9O2
hit structure
1:342294 C24H33N9O6
hit structure
1:342295 C12H21N5O4
hit structure
1:342296 C20H19N7O4
hit structure
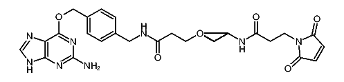
1:342297 C31H40N8O9
hit structure
1:342298 C21H21N7O2S2
hit structure
1:342299 C26H30N8O4S2
hit structure
1:342300 C34H31N7O3
hit structure
1:342301 C24H22N2O2
hit structure
1:342302 C23H21F9N4O4S
hit structure
1:342303 C21H16F9NO5S
hit structure

1
  <<    <    >    >>  

entries in data collection: 347978