Home Browse Text SearchFunctional Group SearchStructure SearchPreferences Administration

selected data collection: 1

IRIS SDF: browse content


1
  <<    <    >    >>  

1:339779 C25H28N2O6
hit structure
1:339780 C23H24N2O6
hit structure
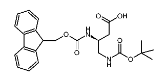
1:339781 C24H28N2O6
hit structure
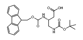
1:339782 C24H28N2O6
hit structure
1:339783 C26H31NO6
hit structure
1:339784 C25H28N2O6
hit structure
1:339785 C21H21NO4
hit structure
1:339786 C21H21NO4
hit structure
1:339787 C22H23NO4
hit structure
1:339788 C22H23NO4
hit structure
1:339789 C26H23NO4
hit structure
1:339790 C26H23NO4
hit structure
1:339791 C26H29NO4
hit structure
1:339792 C39H33NO4S
hit structure
1:339793 C39H33NO4S
hit structure
1:339794 C23H27NO4S2
hit structure
1:339795 C52H46N2O8
hit structure
1:339796 C52H46N2O8
hit structure
1:339797 C35H42N4O7S
hit structure
1:339798 C26H31NO6S
hit structure
1:339799 C22H24N2O6
hit structure
1:339800 C26H25NO6
hit structure
1:339801 C27H27NO7
hit structure
1:339802 C20H19NO4
hit structure
1:339803 C22H23NO4
hit structure

1
  <<    <    >    >>  

entries in data collection: 413394