Home Browse Text SearchFunctional Group SearchStructure SearchPreferences Administration

selected data collection: 1

IRIS SDF: browse content


1
  <<    <    >    >>  

1:339729 C22H23NO4
hit structure
1:339730 C24H21NO4
hit structure
1:339731 C20H21NO5
hit structure
1:339732 C20H21NO5
hit structure
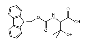
1:339733 C22H25NO4
hit structure
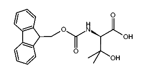
1:339734 C22H25NO4
hit structure
1:339735 C22H23NO4
hit structure
1:339736 C22H23NO4
hit structure
1:339737 C26H25NO4
hit structure
1:339738 C30H33NO5
hit structure
1:339739 C25H29NO6
hit structure
1:339740 C26H31NO6
hit structure
1:339741 C28H36N2O6
hit structure
1:339742 C27H34N2O6
hit structure
1:339743 C35H42N4O7S
hit structure
1:339744 C20H18N4O4
hit structure
1:339745 C21H23NO4
hit structure
1:339746 C21H21NO4
hit structure
1:339747 C21H21NO4
hit structure
1:339748 C22H25NO4
hit structure
1:339749 C22H25NO4
hit structure
1:339750 C27H34N2O6
hit structure
1:339751 C27H34N2O6
hit structure
1:339752 C26H32N2O6
hit structure
1:339753 C26H32N2O6
hit structure

1
  <<    <    >    >>  

entries in data collection: 418426