Home Browse Text SearchFunctional Group SearchStructure SearchPreferences Administration

selected data collection: 1

IRIS SDF: browse content


1
  <<    <    >    >>  

1:338679 C26H26N2O4
hit structure
1:338680 C12H26N2O4Si
hit structure
1:338681 C10H12N2O4Se
hit structure
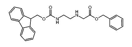
1:338682 C12H13N5O2
hit structure
1:338683 C11H14N2O4Se
hit structure
1:338684 C14H16N8O2
hit structure
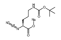
1:338685 C10H17N4NaO4
hit structure
1:338686 C12H13N5O2
hit structure
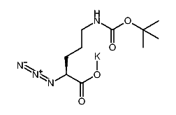
1:338687 C10H17KN4O4
hit structure
1:338688 C15H19N5O2
hit structure
1:338689 C14H17N5O2
hit structure
1:338690 C20H32N4O5S
hit structure
1:338691 C11H23N3O3
hit structure
1:338692 C10H19NO2
hit structure
1:338693 C22H26N2O4
hit structure
1:338694 C20H32N4O5S
hit structure
1:338695 C7H16N2O2
hit structure
1:338696 C6H12N2O3
hit structure
1:338697 C15H16N2O2
hit structure
1:338698 C9H18N2O3
hit structure
1:338699 C10H13NO2
hit structure
1:338700 C9H18N2O3
hit structure
1:338701 C13H14N2O
hit structure
1:338702 C11H13N3O3
hit structure
1:338703 C16H16N4O
hit structure

1
  <<    <    >    >>  

entries in data collection: 433522