Home Browse Text SearchFunctional Group SearchStructure SearchPreferences Administration

selected data collection: 1

IRIS SDF: browse content


1
  <<    <    >    >>  

1:338504 C12H24N2O4
hit structure
1:338505 C15H21NO4
hit structure
1:338506 C10H16N4O4
hit structure
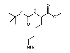
1:338507 C10H19NO5
hit structure
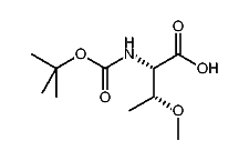
1:338508 C11H19NO4
hit structure
1:338509 C11H19NO4
hit structure
1:338510 C10H16N4O4
hit structure
1:338511 C10H17NO4
hit structure
1:338512 C11H16N2O7
hit structure
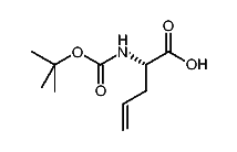
1:338513 C11H19NO4
hit structure
1:338514 C11H19NO4
hit structure
1:338515 C12H21NO4
hit structure
1:338516 C12H21NO4
hit structure
1:338517 C12H21NO4
hit structure
1:338518 C12H21NO4
hit structure
1:338519 C12H21NO4
hit structure
1:338520 C12H21NO4
hit structure
1:338521 C16H29NO5
hit structure
1:338522 C16H21NO4
hit structure
1:338523 C16H21NO4
hit structure
1:338524 C16H27NO4
hit structure
1:338525 C32H42N2O8
hit structure
1:338526 C32H42N2O8
hit structure
1:338527 C15H21NO4
hit structure
1:338528 C15H21NO4
hit structure

1
  <<    <    >    >>  

entries in data collection: 438554