Home Browse Text SearchFunctional Group SearchStructure SearchPreferences Administration

selected data collection: 1

IRIS SDF: browse content


1
  <<    <    >    >>  

1:338329 C14H18N4O8
hit structure
1:338330 C16H22N2O6
hit structure
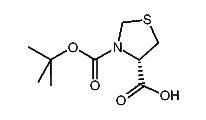
1:338331 C8H16N2O4
hit structure
1:338332 C23H26N2O6
hit structure
1:338333 C25H30N2O6
hit structure
1:338334 C9H15NO4S
hit structure
1:338335 C17H20N2O4
hit structure
1:338336 C19H30N2O6
hit structure
1:338337 C15H20N4O8
hit structure
1:338338 C18H28N2O6
hit structure
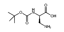
1:338339 C11H19NO4
hit structure
1:338340 C20H32N2O6
hit structure
1:338341 C10H18N2O3
hit structure
1:338342 C15H21NO5
hit structure
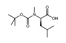
1:338343 C11H19NO4
hit structure
1:338344 C13H17NO4
hit structure
1:338345 C25H32N4O7
hit structure
1:338346 C18H21NO4
hit structure
1:338347 C17H20N2O5
hit structure
1:338348 C18H23N3O6S
hit structure
1:338349 C14H18ClNO4
hit structure
1:338350 C12H23NO4
hit structure
1:338351 C20H30N2O6
hit structure
1:338352 C17H25NO5
hit structure
1:338353 C11H21NO4
hit structure

1
  <<    <    >    >>  

entries in data collection: 438554