Home Browse Text SearchFunctional Group SearchStructure SearchPreferences Administration

selected data collection: 1

IRIS SDF: browse content


1
  <<    <    >    >>  

1:338056 C22H32N8O5
hit structure
1:338057 C29H35N9O9
hit structure
1:338058 C22H29N5O5
hit structure
1:338059 C29H32N6O9
hit structure
1:338060 C37H40N6O6
hit structure
1:338061 C44H43N7O10
hit structure
1:338062 C25H32N4O6
hit structure
1:338063 C32H35N5O10
hit structure
1:338064 C19H26N6O4
hit structure
1:338065 C26H29N7O8
hit structure
1:338066 C19H23N3O4
hit structure
1:338067 C26H26N4O8
hit structure
1:338068 C34H34N4O5
hit structure
1:338069 C41H37N5O9
hit structure
1:338070 C20H30ClN3O4
hit structure
1:338071 C30H32ClN3O4
hit structure
1:338072 C21H31ClN6O3
hit structure
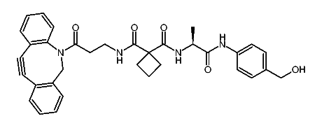
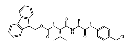
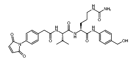
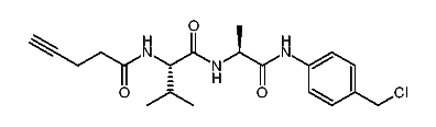
1:338073 C20H26ClN3O3
hit structure
1:338074 C25H33ClN4O5
hit structure
1:338075 C20H29ClN6O4
hit structure
1:338076 C23H32ClN3O5
hit structure
1:338077 C27H30N4O6
hit structure
1:338078 C34H33N5O10
hit structure
1:338079 C30H36N6O7
hit structure
1:338080 C37H39N7O11
hit structure

1
  <<    <    >    >>  

entries in data collection: 438554