Home Browse Text SearchFunctional Group SearchStructure SearchPreferences Administration

selected data collection: 1

IRIS SDF: browse content


1
  <<    <    >    >>  

1:337540 C59H49N3O6
hit structure
1:337541 C44H42N2O7
hit structure
1:337542 C58H48N2O5S
hit structure
1:337543 C42H39N3O6S
hit structure
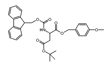
1:337544 C43H42N2O5S
hit structure
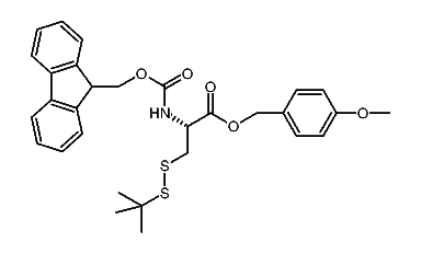
1:337545 C43H42N2O5S2
hit structure
1:337546 C60H51N3O6
hit structure
1:337547 C45H44N2O7
hit structure
1:337548 C38H32N2O5
hit structure
1:337549 C61H50N4O5
hit structure
1:337550 C52H47N3O7
hit structure
1:337551 C27H29NO5
hit structure
1:337552 C43H52N4O8S
hit structure
1:337553 C44H54N4O8S
hit structure
1:337554 C47H44N2O6
hit structure
1:337555 C32H37NO7
hit structure
1:337556 C46H43NO5S
hit structure
1:337557 C30H34N2O6S
hit structure
1:337558 C31H37NO5S
hit structure
1:337559 C31H37NO5S2
hit structure
1:337560 C48H46N2O6
hit structure
1:337561 C33H39NO7
hit structure
1:337562 C26H27NO5
hit structure
1:337563 C49H45N3O5
hit structure
1:337564 C30H35NO5
hit structure

1
  <<    <    >    >>  

entries in data collection: 342946