Home Browse Text SearchFunctional Group SearchStructure SearchPreferences Administration

selected data collection: 1

IRIS SDF: browse content


1
  <<    <    >    >>  

1:337090 C18H32O2
hit structure
1:337091 C12H13NO5
hit structure
1:337092 C13H15NO5
hit structure
1:337093 C18H16N2O
hit structure
1:337094 C10H8N4O2
hit structure
1:337095 C7H10N4O2
hit structure
1:337096 C13H17NO7
hit structure
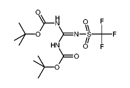
1:337097 C12H20F3N3O6S
hit structure
1:337098 C12H17F6N6O2P
hit structure
1:337099 C18H27ClF6N6OP2
hit structure
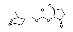
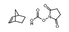
1:337100 C10H19NO4S2
hit structure
1:337101 C20H21NO4S2
hit structure
1:337102 C18H30N10O3
hit structure
1:337103 C19H20N6O5
hit structure
1:337104 C18H18N6O5
hit structure
1:337105 C27H36N6O10
hit structure
1:337106 C35H35NO7S2
hit structure
1:337107 C17H29F6N5O3P2
hit structure
1:337108 C6H7N3O4
hit structure
1:337109 C11H10N4O2
hit structure
1:337110 C20H28N4O7
hit structure
1:337111 C15H13N5O4
hit structure
1:337112 C24H31N5O9
hit structure
1:337113 C24H30N6O7
hit structure
1:337114 C10H11N5
hit structure

1
  <<    <    >    >>  

entries in data collection: 388234