Home Browse Text SearchFunctional Group SearchStructure SearchPreferences Administration

selected data collection: 1

IRIS SDF: browse content


1
  <<    <    >    >>  

1:33595 C40H37NO4S
hit structure
1:33596 C41H39NO4S
hit structure
1:33597 C24H28N2O6
hit structure
1:33598 C25H30N2O6
hit structure
1:33599 C21H23NO4S
hit structure
1:33600 C26H31NO6
hit structure
1:33601 C27H37NO5Si
hit structure
1:33602 C37H45N7O7S
hit structure
1:33603 C24H28N2O5
hit structure
1:33604 C22H24N4O4
hit structure
1:33605 C35H44N2O6
hit structure
1:33606 C25H28N2O5
hit structure
1:33607 C28H28N2O8S
hit structure
1:33608 C29H27N5O3S
hit structure
1:33609 C26H19N3O4S2
hit structure
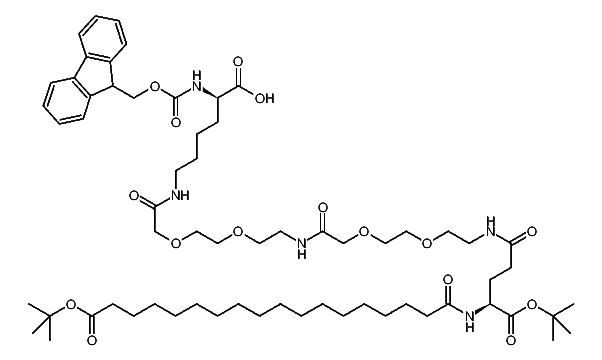
1:33610 C64H101N5O16
hit structure
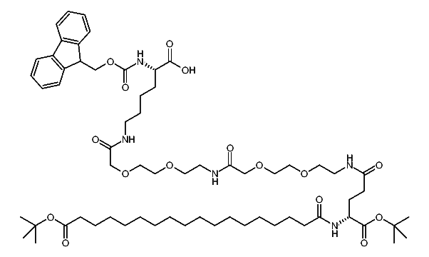
1:33611 C64H101N5O16
hit structure
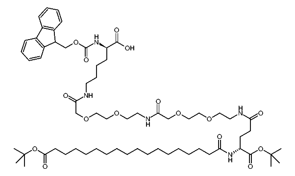
1:33612 C64H101N5O16
hit structure
1:33613 C22H21NO4S
hit structure
1:33614 C25H28N2O6
hit structure
1:33615 C24H24N2O6
hit structure
1:33616 C28H36N2O6
hit structure
1:33617 C39H34N2O5
hit structure
1:33618 C22H23NO4
hit structure
1:33619 C28H34N2O7
hit structure

1
  <<    <    >    >>  

entries in data collection: 86314