Home Browse Text SearchFunctional Group SearchStructure SearchPreferences Administration

selected data collection: 1

IRIS SDF: browse content


1
  <<    <    >    >>  

1:333981 C20H23N3O6
hit structure
1:333982 C16H22N2O6
hit structure
1:333983 C14H22N2O6
hit structure
1:333984 C15H18N2O4
hit structure
1:333985 C23H35N3O8S
hit structure
1:333986 C25H39N3O9S
hit structure
1:333987 C9H17NO4
hit structure
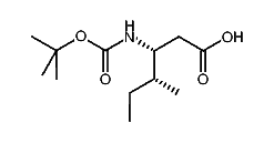
1:333988 C15H21NO4
hit structure
1:333989 C11H19NO4
hit structure
1:333990 C9H17NO4
hit structure
1:333991 C10H18N2O5
hit structure
1:333992 C12H23NO4
hit structure
1:333993 C12H23NO4
hit structure
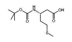
1:333994 C11H21NO4S
hit structure
1:333995 C18H32N2O8Se2
hit structure
1:333996 C27H34N2O6
hit structure
1:333997 C14H16N2O6
hit structure
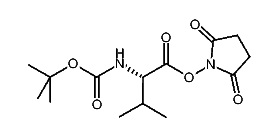
1:333998 C14H17NO4
hit structure
1:333999 C27H40N4O7S
hit structure
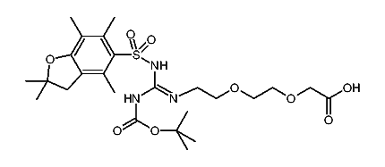
1:334000 C27H43N7O7S
hit structure
1:334001 C8H17NO3
hit structure
1:334002 C8H17NO3
hit structure
1:334003 C16H24N2O5
hit structure
1:334004 C10H21NO3
hit structure
1:334005 C8H17NO3
hit structure

1
  <<    <    >    >>  

entries in data collection: 342946