Home Browse Text SearchFunctional Group SearchStructure SearchPreferences Administration

selected data collection: 1

IRIS SDF: browse content


1
  <<    <    >    >>  

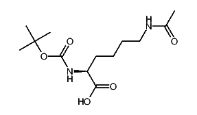
1:333581 C13H24N2O5
hit structure
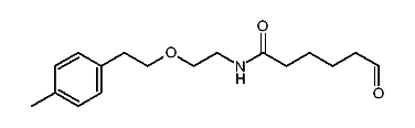
1:333582 C12H21NO4
hit structure
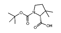
1:333583 C12H23NO4S
hit structure
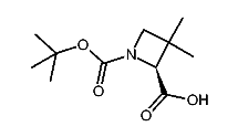
1:333584 C11H19NO4
hit structure
1:333585 C25H30N2O6S
hit structure
1:333586 C20H32N4O6S
hit structure
1:333587 C12H16N2O6
hit structure
1:333588 C13H18N2O6
hit structure
1:333589 C13H24N2O8
hit structure
1:333590 C43H44N2O7
hit structure
1:333591 C16H22O4
hit structure
1:333592 C11H16OS
hit structure
1:333593 C31H31NO3
hit structure
1:333594 C18H22O3
hit structure
1:333595 C11H15BrO
hit structure
1:333596 C17H25NO3
hit structure
1:333597 C18H30O5
hit structure
1:333598 C19H22O4
hit structure
1:333599 C18H20O3
hit structure
1:333600 C19H23NO3
hit structure
1:333601 C43H44N2O7
hit structure
1:333602 C16H22O4
hit structure
1:333603 C11H16OS
hit structure
1:333604 C31H31NO3
hit structure
1:333605 C18H22O3
hit structure

1
  <<    <    >    >>  

entries in data collection: 373138