Home Browse Text SearchFunctional Group SearchStructure SearchPreferences Administration

selected data collection: 1

IRIS SDF: browse content


1
  <<    <    >    >>  

1:333256 C25H30N2O6
hit structure
1:333257 C18H26N2O6
hit structure
1:333258 C10H20N2O4
hit structure
1:333259 C14H18FNO4
hit structure
1:333260 C14H18FNO4
hit structure
1:333261 C14H19NO4
hit structure
1:333262 C13H17NO4
hit structure
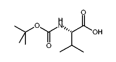
1:333263 C11H19NO4
hit structure
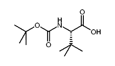
1:333264 C10H17NO4
hit structure
1:333265 C15H21NO5
hit structure
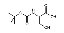
1:333266 C8H15NO5
hit structure
1:333267 C16H23NO5
hit structure
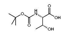
1:333268 C9H17NO5
hit structure
1:333269 C9H15NO4S
hit structure
1:333270 C15H19NO4
hit structure
1:333271 C11H21NO4
hit structure
1:333272 C21H28N2O6
hit structure
1:333273 C17H20N2O5
hit structure
1:333274 C16H20N2O4
hit structure
1:333275 C22H24BrNO7
hit structure
1:333276 C17H23NO5
hit structure
1:333277 C21H25NO5
hit structure
1:333278 C14H19NO5
hit structure
1:333279 C10H19NO4
hit structure
1:333280 C9H17NO4
hit structure

1
  <<    <    >    >>  

entries in data collection: 393266