Home Browse Text SearchFunctional Group SearchStructure SearchPreferences Administration

selected data collection: 1

IRIS SDF: browse content


1
  <<    <    >    >>  

1:329001 C31H50N6O11
hit structure
1:329002 C22H34N2O6
hit structure
1:329003 C10H20N2O2
hit structure
1:329004 C9H20N2O2
hit structure
1:329005 C9H20N2O2
hit structure
1:329006 C18H26N2O6
hit structure
1:329007 C11H22N2O2
hit structure
1:329008 C15H28N2O6
hit structure
1:329009 C9H20N2O2
hit structure
1:329010 C8H18N2O2
hit structure
1:329011 C10H22N2O2
hit structure
1:329012 C15H32N2O4
hit structure
1:329013 C11H24N2O4
hit structure
1:329014 C7H16N2O2
hit structure
1:329015 C14H22N2O2
hit structure
1:329016 C23H26BrN2O2P
hit structure
1:329017 C9H18N2O2
hit structure
1:329018 C9H18N2O2
hit structure
1:329019 C11H22N2O2
hit structure
1:329020 C13H26N2O2
hit structure
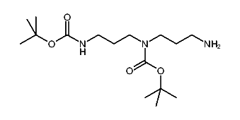
1:329021 C14H29N3O4
hit structure
1:329022 C14H29N3O4
hit structure
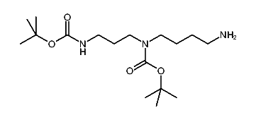
1:329023 C16H33N3O4
hit structure
1:329024 C16H33N3O4
hit structure
1:329025 C17H35N3O4
hit structure

1
  <<    <    >    >>  

entries in data collection: 393266