Home Browse Text SearchFunctional Group SearchStructure SearchPreferences Administration

selected data collection: 1

IRIS SDF: browse content


1
  <<    <    >    >>  

1:328601 C11H14N4O3
hit structure
1:328602 C14H19N5O4
hit structure
1:328603 C12H16N2O6S
hit structure
1:328604 C21H35NO3
hit structure
1:328605 C21H21N5O5
hit structure
1:328606 C8H15N5O3
hit structure
1:328607 C6H12N2O4Se2
hit structure
1:328608 C12H14N2O6Se
hit structure
1:328609 C14H19N5O4
hit structure
1:328610 C14H19N5O4
hit structure
1:328611 C25H32N2O4
hit structure
1:328612 C12H20N2O5
hit structure
1:328613 C11H18N2O3
hit structure
1:328614 C9H15N3O2
hit structure
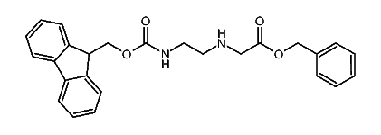
1:328615 C26H26N2O4
hit structure
1:328616 C12H26N2O4Si
hit structure
1:328617 C10H12N2O4Se
hit structure
1:328618 C12H13N5O2
hit structure
1:328619 C11H14N2O4Se
hit structure
1:328620 C14H16N8O2
hit structure
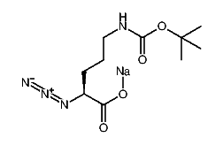
1:328621 C10H17N4NaO4
hit structure
1:328622 C12H13N5O2
hit structure
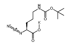
1:328623 C10H17KN4O4
hit structure
1:328624 C15H19N5O2
hit structure
1:328625 C14H17N5O2
hit structure

1
  <<    <    >    >>  

entries in data collection: 398298