Home Browse Text SearchFunctional Group SearchStructure SearchPreferences Administration

selected data collection: 1

IRIS SDF: browse content


1
  <<    <    >    >>  

1:327601 C65H54N2O6
hit structure
1:327602 C66H56N2O6
hit structure
1:327603 C59H53N3O7
hit structure
1:327604 C57(13C)5H63N(15N)4O8S
hit structure
1:327605 C43(13C)6H46N(15N)O5
hit structure
1:327606 C48(13C)6H55N(15N)2O7
hit structure
1:327607 C43(13C)5H44N(15N)O5
hit structure
1:327608 C9H25NO
hit structure
1:327609 C25H30N2
hit structure
1:327610 C21H21NS
hit structure
1:327611 C61H66N4O10
hit structure
1:327612 C46H60N4O13
hit structure
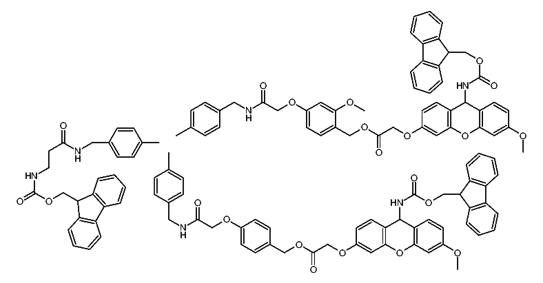
1:327613 C125H120N6O22
hit structure
1:327614 C110H114N6O25
hit structure
1:327615 C96H97N7O14
hit structure
1:327616 C34H33NO5
hit structure
1:327617 C33H31NO5
hit structure
1:327618 C36H37NO5
hit structure
1:327619 C33H31NO5
hit structure
1:327620 C34H33NO5
hit structure
1:327621 C41H46N2O7
hit structure
1:327622 C40H42N2O7
hit structure
1:327623 C46H52N4O7S
hit structure
1:327624 C51H48N2O7
hit structure
1:327625 C35H31NO5
hit structure

1
  <<    <    >    >>  

entries in data collection: 327850