Home Browse Text SearchFunctional Group SearchStructure SearchPreferences Administration

selected data collection: 1

IRIS SDF: browse content


1
  <<    <    >    >>  

1:326326 C17H11NO3
hit structure
1:326327 C9H15O6P
hit structure
1:326328 C24H36N4O6S
hit structure
1:326329 C18H25N3O3S
hit structure
1:326330 C16H28N4O4S
hit structure
1:326331 C46H50N10O9
hit structure
1:326332 C55H65N7O12
hit structure
1:326333 C51H53N7O16
hit structure
1:326334 C48H63N13O10
hit structure
1:326335 C23H34N4O4S3
hit structure
1:326336 C14H20N4O4
hit structure
1:326337 C16H15N5
hit structure
1:326338 C27H38D6O2
hit structure
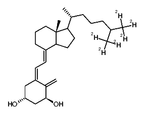
1:326339 C27H40D6O2
hit structure
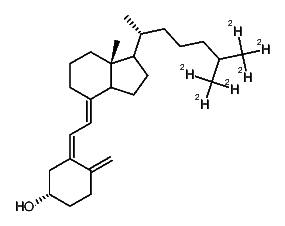
1:326340 C27H38D6O
hit structure
1:326341 C27H38D6O2
hit structure
1:326342 C27H38D6O3
hit structure
1:326343 C27H41D3O
hit structure
1:326344 C27H38D6O
hit structure
1:326345 C27H40D6O
hit structure
1:326346 C28H38D6O2
hit structure
1:326347 C28H38D6O2
hit structure
1:326348 C28H38D6O3
hit structure
1:326349 C28H41D3O
hit structure
1:326350 C28H38D6O
hit structure

1
  <<    <    >    >>  

entries in data collection: 393266