Home Browse Text SearchFunctional Group SearchStructure SearchPreferences Administration

selected data collection: 1

IRIS SDF: browse content


1
  <<    <    >    >>  

1:323976 C15H28N2O6
hit structure
1:323977 C9H20N2O2
hit structure
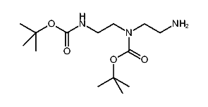
1:323978 C8H18N2O2
hit structure
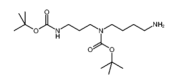
1:323979 C10H22N2O2
hit structure
1:323980 C15H32N2O4
hit structure
1:323981 C11H24N2O4
hit structure
1:323982 C7H16N2O2
hit structure
1:323983 C14H22N2O2
hit structure
1:323984 C23H26BrN2O2P
hit structure
1:323985 C9H18N2O2
hit structure
1:323986 C9H18N2O2
hit structure
1:323987 C11H22N2O2
hit structure
1:323988 C13H26N2O2
hit structure
1:323989 C14H29N3O4
hit structure
1:323990 C14H29N3O4
hit structure
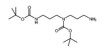
1:323991 C16H33N3O4
hit structure
1:323992 C16H33N3O4
hit structure
1:323993 C17H35N3O4
hit structure
1:323994 C17H35N3O4
hit structure
1:323995 C10H22N4O3
hit structure
1:323996 C24H50N4O4
hit structure
1:323997 C9H20N2O2S2
hit structure
1:323998 C13H28N2O2
hit structure
1:323999 C14H30N2O2
hit structure
1:324000 C15H32N2O2
hit structure

1
  <<    <    >    >>  

entries in data collection: 428490