Home Browse Text SearchFunctional Group SearchStructure SearchPreferences Administration

selected data collection: 1

IRIS SDF: browse content


1
  <<    <    >    >>  

1:323751 C10H17NO5
hit structure
1:323752 C12H16N2O5
hit structure
1:323753 C12H23NO4
hit structure
1:323754 C12H19N3O4
hit structure
1:323755 C12H19N3O4
hit structure
1:323756 C21H29N3O5
hit structure
1:323757 C23H44N2O5
hit structure
1:323758 C10H17NO4
hit structure
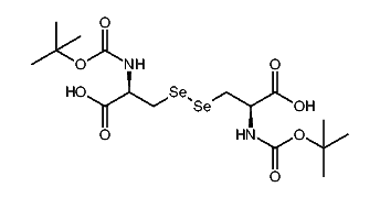
1:323759 C16H28N2O8Se2
hit structure
1:323760 C25H28N2O6
hit structure
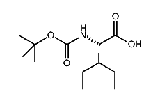
1:323761 C13H25NO4
hit structure
1:323762 C11H21NO5
hit structure
1:323763 C12H17NO5
hit structure
1:323764 C12H17NO5
hit structure
1:323765 C13H23NO4
hit structure
1:323766 C16H23NO5Se
hit structure
1:323767 C16H20F3NO4
hit structure
1:323768 C13H25NO4
hit structure
1:323769 C18H35NO4
hit structure
1:323770 C21H41NO4
hit structure
1:323771 C23H45NO4
hit structure
1:323772 C18H34N2O5
hit structure
1:323773 C18H24N2O6
hit structure
1:323774 C18H22N2O6
hit structure
1:323775 C17H25NO5
hit structure

1
  <<    <    >    >>  

entries in data collection: 433522