Home Browse Text SearchFunctional Group SearchStructure SearchPreferences Administration

selected data collection: 1

IRIS SDF: browse content


1
  <<    <    >    >>  

1:323576 C12H14N2O6Se
hit structure
1:323577 C14H19N5O4
hit structure
1:323578 C14H19N5O4
hit structure
1:323579 C25H32N2O4
hit structure
1:323580 C12H20N2O5
hit structure
1:323581 C11H18N2O3
hit structure
1:323582 C9H15N3O2
hit structure
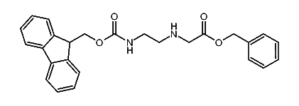
1:323583 C26H26N2O4
hit structure
1:323584 C12H26N2O4Si
hit structure
1:323585 C10H12N2O4Se
hit structure
1:323586 C12H13N5O2
hit structure
1:323587 C11H14N2O4Se
hit structure
1:323588 C14H16N8O2
hit structure
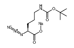
1:323589 C10H17N4NaO4
hit structure
1:323590 C12H13N5O2
hit structure
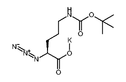
1:323591 C10H17KN4O4
hit structure
1:323592 C15H19N5O2
hit structure
1:323593 C14H17N5O2
hit structure
1:323594 C20H32N4O5S
hit structure
1:323595 C11H23N3O3
hit structure
1:323596 C10H19NO2
hit structure
1:323597 C22H26N2O4
hit structure
1:323598 C20H32N4O5S
hit structure
1:323599 C7H16N2O2
hit structure
1:323600 C6H12N2O3
hit structure

1
  <<    <    >    >>  

entries in data collection: 433522