Home Browse Text SearchFunctional Group SearchStructure SearchPreferences Administration

selected data collection: 1

IRIS SDF: browse content


1
  <<    <    >    >>  

1:323226 C8H16N2O4
hit structure
1:323227 C22H24N2O6
hit structure
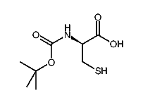
1:323228 C8H15NO4S
hit structure
1:323229 C19H30N2O6
hit structure
1:323230 C12H20N2O6
hit structure
1:323231 C12H20N2O6
hit structure
1:323232 C18H28N2O6
hit structure
1:323233 C14H18N4O8
hit structure
1:323234 C16H22N2O6
hit structure
1:323235 C8H16N2O4
hit structure
1:323236 C23H26N2O6
hit structure
1:323237 C25H30N2O6
hit structure
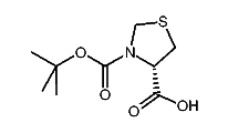
1:323238 C9H15NO4S
hit structure
1:323239 C17H20N2O4
hit structure
1:323240 C19H30N2O6
hit structure
1:323241 C15H20N4O8
hit structure
1:323242 C18H28N2O6
hit structure
1:323243 C11H19NO4
hit structure
1:323244 C20H32N2O6
hit structure
1:323245 C10H18N2O3
hit structure
1:323246 C15H21NO5
hit structure
1:323247 C11H19NO4
hit structure
1:323248 C13H17NO4
hit structure
1:323249 C25H32N4O7
hit structure
1:323250 C18H21NO4
hit structure

1
  <<    <    >    >>  

entries in data collection: 438554