Home Browse Text SearchFunctional Group SearchStructure SearchPreferences Administration

selected data collection: 1

IRIS SDF: browse content


1
  <<    <    >    >>  

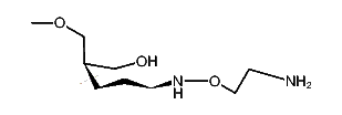
1:32295 C11H28N2O3
hit structure
1:32296 C11H28N2O3
hit structure
1:32297 C11H28N2O3
hit structure
1:32298 C11H28N2O3
hit structure
1:32299 C11H28N2O3
hit structure
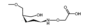
1:32300 C11H25NO5
hit structure
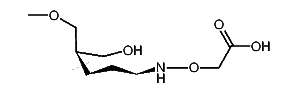
1:32301 C11H25NO5
hit structure
1:32302 C11H25NO5
hit structure
1:32303 C11H25NO5
hit structure
1:32304 C11H25NO5
hit structure
1:32305 C11H25NO5
hit structure
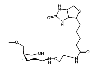
1:32306 C21H42N4O5S
hit structure
1:32307 C21H42N4O5S
hit structure
1:32308 C21H42N4O5S
hit structure
1:32309 C21H42N4O5S
hit structure
1:32310 C21H42N4O5S
hit structure
1:32311 C12H29NO3S
hit structure
1:32312 C25H23N3O2
hit structure
1:32313 C47H51FN7O7P
hit structure
1:32314 C41H49FN5O8P
hit structure
1:32315 C44H53FN7O8P
hit structure
1:32316 C48H54N7O8P
hit structure
1:32317 C47H54N5O9P
hit structure
1:32318 C45H56N7O9P
hit structure
1:32319 C40H49N4O9P
hit structure

1
  <<    <    >    >>  

entries in data collection: 101410