Home Browse Text SearchFunctional Group SearchStructure SearchPreferences Administration

selected data collection: 1

IRIS SDF: browse content


1
  <<    <    >    >>  

1:321444 C31H57NO7
hit structure
1:321445 C22H42O4
hit structure
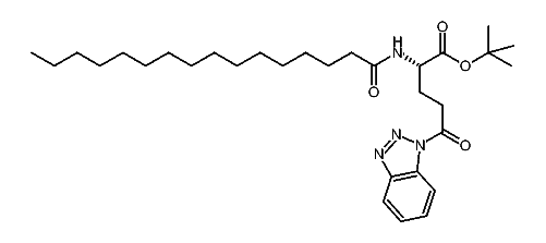
1:321446 C29H50N2O7
hit structure
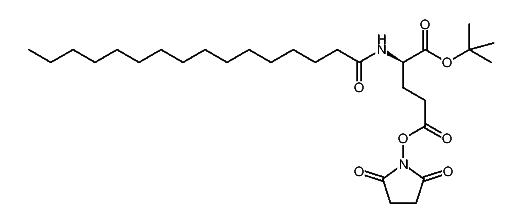
1:321447 C29H50N2O7
hit structure
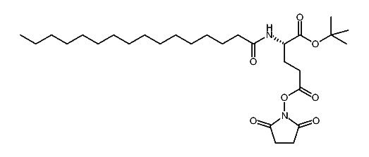
1:321448 C26H44N2O7
hit structure
1:321449 C10H15NO6
hit structure
1:321450 C17H23NO4
hit structure
1:321451 C17H29NO4
hit structure
1:321452 C17H24N2O4
hit structure
1:321453 C17H23NO5
hit structure
1:321454 C17H23NO4S
hit structure
1:321455 C18H25NO4
hit structure
1:321456 C27H25NO4
hit structure
1:321457 C27H31NO4
hit structure
1:321458 C31H50N4O4
hit structure
1:321459 C25H47NO5
hit structure
1:321460 C8H14N2O2S2
hit structure
1:321461 C36H44N4O9S2
hit structure
1:321462 C29H53NO7
hit structure
1:321463 C33H56N2O9
hit structure
1:321464 C20H38O4
hit structure
1:321465 C44H46N2O4S
hit structure
1:321466 C304H612ClN201O50
hit structure
1:321467 C24H47NO5
hit structure
1:321468 C12H24N2O7
hit structure

1
  <<    <    >    >>  

entries in data collection: 347978