Home Browse Text SearchFunctional Group SearchStructure SearchPreferences Administration

selected data collection: 1

IRIS SDF: browse content


1
  <<    <    >    >>  

1:319102 C18H20O3
hit structure
1:319103 C19H23NO3
hit structure
1:319104 C28H30N2O6
hit structure
1:319105 C21H34N2O6
hit structure
1:319106 C29H32N2O6
hit structure
1:319107 C28H30N2O6
hit structure
1:319108 C20H30N2O6
hit structure
1:319109 C21H34N2O6
hit structure
1:319110 C31H36N2O6
hit structure
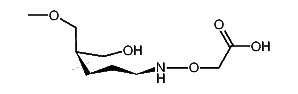
1:319111 C16H25NO6
hit structure
1:319112 C31H36N2O6
hit structure
1:319113 C31H36N2O6
hit structure
1:319114 C34H42N2O6
hit structure
1:319115 C15H23NO4S
hit structure
1:319116 C34H42N2O6
hit structure
1:319117 C32H38N2O6
hit structure
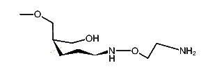
1:319118 C11H28N2O3
hit structure
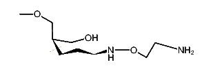
1:319119 C11H28N2O3
hit structure
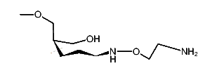
1:319120 C11H28N2O3
hit structure
1:319121 C11H28N2O3
hit structure
1:319122 C11H28N2O3
hit structure
1:319123 C11H28N2O3
hit structure
1:319124 C11H25NO5
hit structure
1:319125 C11H25NO5
hit structure
1:319126 C11H25NO5
hit structure

1
  <<    <    >    >>  

entries in data collection: 342946