Home Browse Text SearchFunctional Group SearchStructure SearchPreferences Administration

selected data collection: 1

IRIS SDF: browse content


1
  <<    <    >    >>  

1:318952 C23H26BrN2O2P
hit structure
1:318953 C9H18N2O2
hit structure
1:318954 C9H18N2O2
hit structure
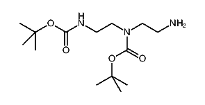
1:318955 C11H22N2O2
hit structure
1:318956 C13H26N2O2
hit structure
1:318957 C14H29N3O4
hit structure
1:318958 C14H29N3O4
hit structure
1:318959 C16H33N3O4
hit structure
1:318960 C16H33N3O4
hit structure
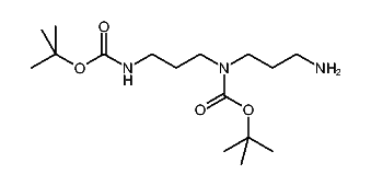
1:318961 C17H35N3O4
hit structure
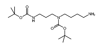
1:318962 C17H35N3O4
hit structure
1:318963 C10H22N4O3
hit structure
1:318964 C24H50N4O4
hit structure
1:318965 C9H20N2O2S2
hit structure
1:318966 C13H28N2O2
hit structure
1:318967 C14H30N2O2
hit structure
1:318968 C15H32N2O2
hit structure
1:318969 C16H34N2O2
hit structure
1:318970 C17H36N2O2
hit structure
1:318971 C14H27N3O4
hit structure
1:318972 C9H19N3O2
hit structure
1:318973 C9H18N2O3
hit structure
1:318974 C23H47N5O6
hit structure
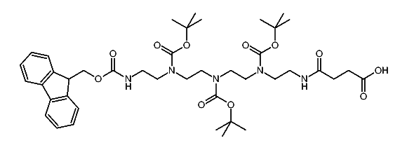
1:318975 C42H61N5O11
hit structure
1:318976 C13H22N2O4S2
hit structure

1
  <<    <    >    >>  

entries in data collection: 337914