Home Browse Text SearchFunctional Group SearchStructure SearchPreferences Administration

selected data collection: 1

IRIS SDF: browse content


1
  <<    <    >    >>  

1:318677 C13H17NO4
hit structure
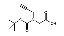
1:318678 C8H15NO5
hit structure
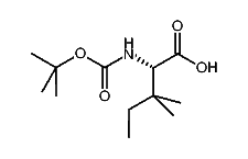
1:318679 C10H17NO4
hit structure
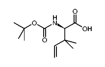
1:318680 C10H15NO4
hit structure
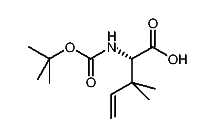
1:318681 C10H17NO4
hit structure
1:318682 C10H17NO4
hit structure
1:318683 C17H27NO4
hit structure
1:318684 C28H38N2O10
hit structure
1:318685 C28H38N2O10
hit structure
1:318686 C30H42N2O8
hit structure
1:318687 C12H23NO4
hit structure
1:318688 C12H23NO4
hit structure
1:318689 C12H21NO4
hit structure
1:318690 C12H21NO4
hit structure
1:318691 C12H21NO4
hit structure
1:318692 C15H26N2O4
hit structure
1:318693 C13H23NO4
hit structure
1:318694 C14H25NO4
hit structure
1:318695 C11H19NO5
hit structure
1:318696 C9H15NO6
hit structure
1:318697 C14H23NO4
hit structure
1:318698 C9H14F3NO4
hit structure
1:318699 C11H19NO6
hit structure
1:318700 C19H37NO4
hit structure
1:318701 C16H21NO4
hit structure

1
  <<    <    >    >>  

entries in data collection: 332882