Home Browse Text SearchFunctional Group SearchStructure SearchPreferences Administration

selected data collection: 1

IRIS SDF: browse content


1
  <<    <    >    >>  

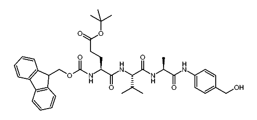
1:317952 C37H39N7O11
hit structure
1:317953 C32H39N5O8
hit structure
1:317954 C39H42N6O12
hit structure
1:317955 C13H14O5
hit structure
1:317956 C20H17NO9
hit structure
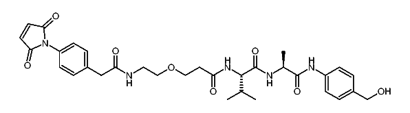
1:317957 C42H54N6O9
hit structure
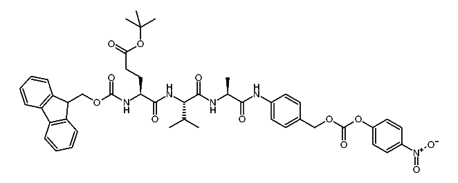
1:317958 C49H57N7O13
hit structure
1:317959 C39H48N4O8
hit structure
1:317960 C46H51N5O12
hit structure
1:317961 C12H14N2O
hit structure
1:317962 C9H18N2O2
hit structure
1:317963 C15H14N2O2
hit structure
1:317964 C11H26N2O4
hit structure
1:317965 C14H24N2O4
hit structure
1:317966 C11H26N2O4
hit structure
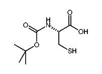
1:317967 C8H15NO4S
hit structure
1:317968 C27H29NO4S
hit structure
1:317969 C13H22N2O6
hit structure
1:317970 C24H28N2O6
hit structure
1:317971 C9H18N2O4
hit structure
1:317972 C23H26N2O6
hit structure
1:317973 C23H26N2O6
hit structure
1:317974 C10H18N2O5
hit structure
1:317975 C13H21NO6
hit structure
1:317976 C17H23NO6
hit structure

1
  <<    <    >    >>  

entries in data collection: 327850