Home Browse Text SearchFunctional Group SearchStructure SearchPreferences Administration

selected data collection: 1

IRIS SDF: browse content


1
  <<    <    >    >>  

1:31720 C12H14N2O6Se
hit structure
1:31721 C14H19N5O4
hit structure
1:31722 C14H19N5O4
hit structure
1:31723 C25H32N2O4
hit structure
1:31724 C12H20N2O5
hit structure
1:31725 C11H18N2O3
hit structure
1:31726 C9H15N3O2
hit structure
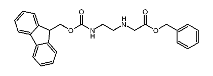
1:31727 C26H26N2O4
hit structure
1:31728 C12H26N2O4Si
hit structure
1:31729 C10H12N2O4Se
hit structure
1:31730 C12H13N5O2
hit structure
1:31731 C11H14N2O4Se
hit structure
1:31732 C14H16N8O2
hit structure
1:31733 C10H17N4NaO4
hit structure
1:31734 C12H13N5O2
hit structure
1:31735 C10H17KN4O4
hit structure
1:31736 C15H19N5O2
hit structure
1:31737 C14H17N5O2
hit structure
1:31738 C20H32N4O5S
hit structure
1:31739 C11H23N3O3
hit structure
1:31740 C10H19NO2
hit structure
1:31741 C22H26N2O4
hit structure
1:31742 C20H32N4O5S
hit structure
1:31743 C7H16N2O2
hit structure
1:31744 C6H12N2O3
hit structure

1
  <<    <    >    >>  

entries in data collection: 116506