Home Browse Text SearchFunctional Group SearchStructure SearchPreferences Administration

selected data collection: 1

IRIS SDF: browse content


1
  <<    <    >    >>  

1:317087 C16H22N2O7S2
hit structure
1:317088 C19H21NO3S2
hit structure
1:317089 C26H24N2O7S2
hit structure
1:317090 C19H14N2O5S2
hit structure
1:317091 C14H21NO3S2
hit structure
1:317092 C21H24N2O7S2
hit structure
1:317093 C24H23NO3S2
hit structure
1:317094 C9H11BrN2O5
hit structure
1:317095 C8H14N2O2S
hit structure
1:317096 C24H20N2O7S
hit structure
1:317097 C16H32ClN3O5
hit structure
1:317098 C9H9N3O2
hit structure
1:317099 C10H19NO5
hit structure
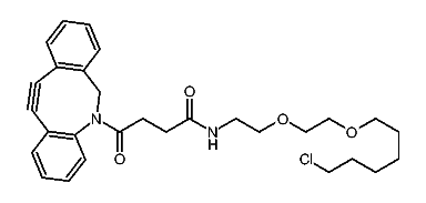
1:317100 C29H35ClN2O4
hit structure
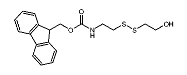
1:317101 C10H22ClNO2
hit structure
1:317102 C14H30ClNO4
hit structure
1:317103 C10H20ClN3O2
hit structure
1:317104 C14H28ClN3O4
hit structure
1:317105 C16H26N2O2
hit structure
1:317106 C16H30N2O2
hit structure
1:317107 C18H34N2O2
hit structure
1:317108 C18H30N2O2
hit structure
1:317109 C29H31NO6
hit structure
1:317110 C30H29NO6
hit structure
1:317111 C28H29NO6
hit structure

1
  <<    <    >    >>  

entries in data collection: 332882