Home Browse Text SearchFunctional Group SearchStructure SearchPreferences Administration

selected data collection: 1

IRIS SDF: browse content


1
  <<    <    >    >>  

1:316262 C17H11NO3
hit structure
1:316263 C9H15O6P
hit structure
1:316264 C24H36N4O6S
hit structure
1:316265 C18H25N3O3S
hit structure
1:316266 C16H28N4O4S
hit structure
1:316267 C46H50N10O9
hit structure
1:316268 C55H65N7O12
hit structure
1:316269 C51H53N7O16
hit structure
1:316270 C48H63N13O10
hit structure
1:316271 C23H34N4O4S3
hit structure
1:316272 C14H20N4O4
hit structure
1:316273 C16H15N5
hit structure
1:316274 C27H38D6O2
hit structure
1:316275 C27H40D6O2
hit structure
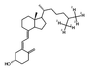
1:316276 C27H38D6O
hit structure
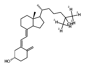
1:316277 C27H38D6O2
hit structure
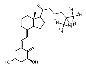
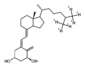
1:316278 C27H38D6O3
hit structure
1:316279 C27H41D3O
hit structure
1:316280 C27H38D6O
hit structure
1:316281 C27H40D6O
hit structure
1:316282 C28H38D6O2
hit structure
1:316283 C28H38D6O2
hit structure
1:316284 C28H38D6O3
hit structure
1:316285 C28H41D3O
hit structure
1:316286 C28H38D6O
hit structure

1
  <<    <    >    >>  

entries in data collection: 347978