Home Browse Text SearchFunctional Group SearchStructure SearchPreferences Administration

selected data collection: 1

IRIS SDF: browse content


1
  <<    <    >    >>  

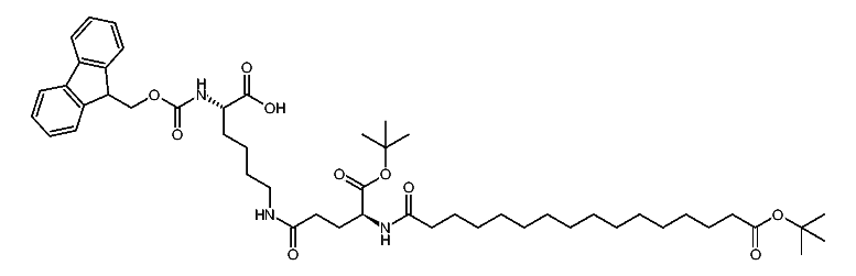
1:315187 C50H75N3O10
hit structure
1:315188 C29H29NO6
hit structure
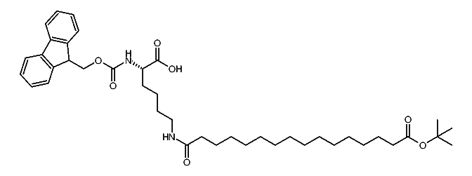
1:315189 C41H60N2O7
hit structure
1:315190 C27H30N2O5
hit structure
1:315191 C27H21N3O4
hit structure
1:315192 C27H21N3O4
hit structure
1:315193 C27H21N3O4
hit structure
1:315194 C30H34N2O10
hit structure
1:315195 C21H32O11
hit structure
1:315196 C30H48N8O10
hit structure
1:315197 C56H66F4N2O18
hit structure
1:315198 C27H35NO9
hit structure
1:315199 C34H35NO10S
hit structure
1:315200 C34H35NO10S
hit structure
1:315201 C40H43NO16S
hit structure
1:315202 C22H29NO9
hit structure
1:315203 C6H11NO3
hit structure
1:315204 C6H13NO2
hit structure
1:315205 C6H13NO2
hit structure
1:315206 C7H15NO2
hit structure
1:315207 C11H22N2O4
hit structure
1:315208 C6H14N2O2
hit structure
1:315209 C11H15NO2
hit structure
1:315210 C5H11NO2S
hit structure
1:315211 C7H15NO2
hit structure

1
  <<    <    >    >>  

entries in data collection: 403330