Home Browse Text SearchFunctional Group SearchStructure SearchPreferences Administration

selected data collection: 1

IRIS SDF: browse content


1
  <<    <    >    >>  

1:314062 C15H21NO4
hit structure
1:314063 C11H17NO
hit structure
1:314064 C15H21NO4
hit structure
1:314065 C11H17NO
hit structure
1:314066 C11H15BrO
hit structure
1:314067 C17H25NO3
hit structure
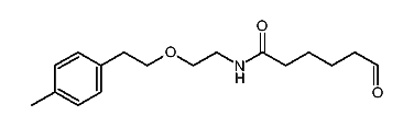
1:314068 C18H30O5
hit structure
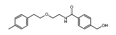
1:314069 C19H22O4
hit structure
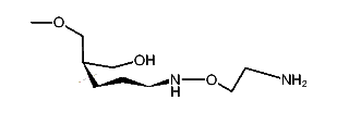
1:314070 C18H20O3
hit structure
1:314071 C19H23NO3
hit structure
1:314072 C28H30N2O6
hit structure
1:314073 C21H34N2O6
hit structure
1:314074 C29H32N2O6
hit structure
1:314075 C28H30N2O6
hit structure
1:314076 C20H30N2O6
hit structure
1:314077 C21H34N2O6
hit structure
1:314078 C31H36N2O6
hit structure
1:314079 C16H25NO6
hit structure
1:314080 C31H36N2O6
hit structure
1:314081 C31H36N2O6
hit structure
1:314082 C34H42N2O6
hit structure
1:314083 C15H23NO4S
hit structure
1:314084 C34H42N2O6
hit structure
1:314085 C32H38N2O6
hit structure
1:314086 C11H28N2O3
hit structure

1
  <<    <    >    >>  

entries in data collection: 418426