Home Browse Text SearchFunctional Group SearchStructure SearchPreferences Administration

selected data collection: 1

IRIS SDF: browse content


1
  <<    <    >    >>  

1:312155 C24H37N5O3S3
hit structure
1:312156 C20H29N5O5S
hit structure
1:312157 C23H33N5O7S
hit structure
1:312158 C22H34N4O5S
hit structure
1:312159 C9H17N3OS
hit structure
1:312160 C20H17Cl
hit structure
1:312161 C6H7ClIN
hit structure
1:312162 C8H9NO2
hit structure
1:312163 C22H20O2S
hit structure
1:312164 C16H15F5N2O3S
hit structure
1:312165 C17H24N6O5
hit structure
1:312166 C18H23N3O5
hit structure
1:312167 C27H40N6O7S
hit structure
1:312168 C36H39N5O7
hit structure
1:312169 C15H27N5O3S2
hit structure
1:312170 C9H6N4O3
hit structure
1:312171 C13H16N4O4
hit structure
1:312172 C6H7NO5
hit structure
1:312173 C10H11NO2S
hit structure
1:312174 C8H9NO2
hit structure
1:312175 C10H15NO4
hit structure
1:312176 C14H18N2O6
hit structure
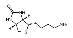
1:312177 C12H19NO6
hit structure
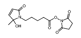
1:312178 C16H22N2O8
hit structure
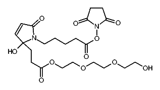
1:312179 C22H32N2O11
hit structure

1
  <<    <    >    >>  

entries in data collection: 322818