Home Browse Text SearchFunctional Group SearchStructure SearchPreferences Administration

selected data collection: 1

IRIS SDF: browse content


1
  <<    <    >    >>  

1:312055 C16H22N2O7S2
hit structure
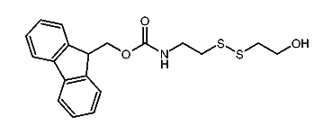
1:312056 C19H21NO3S2
hit structure
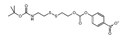
1:312057 C26H24N2O7S2
hit structure
1:312058 C19H14N2O5S2
hit structure
1:312059 C14H21NO3S2
hit structure
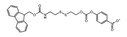
1:312060 C21H24N2O7S2
hit structure
1:312061 C24H23NO3S2
hit structure
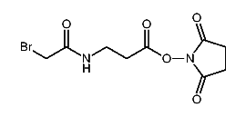
1:312062 C9H11BrN2O5
hit structure
1:312063 C8H14N2O2S
hit structure
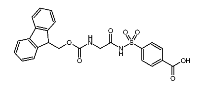
1:312064 C24H20N2O7S
hit structure
1:312065 C16H32ClN3O5
hit structure
1:312066 C9H9N3O2
hit structure
1:312067 C10H19NO5
hit structure
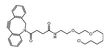
1:312068 C29H35ClN2O4
hit structure
1:312069 C10H22ClNO2
hit structure
1:312070 C14H30ClNO4
hit structure
1:312071 C10H20ClN3O2
hit structure
1:312072 C14H28ClN3O4
hit structure
1:312073 C16H26N2O2
hit structure
1:312074 C16H30N2O2
hit structure
1:312075 C18H34N2O2
hit structure
1:312076 C18H30N2O2
hit structure
1:312077 C29H31NO6
hit structure
1:312078 C30H29NO6
hit structure
1:312079 C28H29NO6
hit structure

1
  <<    <    >    >>  

entries in data collection: 327850