Home Browse Text SearchFunctional Group SearchStructure SearchPreferences Administration

selected data collection: 1

IRIS SDF: browse content


1
  <<    <    >    >>  

1:310830 C7H13NO2
hit structure
1:310831 C12H18N2O4
hit structure
1:310832 C14H26N2O4
hit structure
1:310833 C16H30N2O4
hit structure
1:310834 C7H13NO2
hit structure
1:310835 C16H30N2O4
hit structure
1:310836 C14H22N2O4
hit structure
1:310837 C14H22N2O4
hit structure
1:310838 C18H30N2O4
hit structure
1:310839 C6H13NO2
hit structure
1:310840 C7H15NO2
hit structure
1:310841 C8H17NO2
hit structure
1:310842 C9H19NO2
hit structure
1:310843 C7H15NO2
hit structure
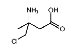
1:310844 C5H10ClNO2
hit structure
1:310845 C6H11NO2
hit structure
1:310846 C9H17NO2
hit structure
1:310847 C10H19NO2
hit structure
1:310848 C7H15NO2
hit structure
1:310849 C7H13NO2
hit structure
1:310850 C7H13NO3
hit structure
1:310851 C5H9NO2
hit structure
1:310852 C6H11NO2
hit structure
1:310853 C9H11NO2
hit structure
1:310854 C9H11NO2
hit structure

1
  <<    <    >    >>  

entries in data collection: 383202