Home Browse Text SearchFunctional Group SearchStructure SearchPreferences Administration

selected data collection: 1

IRIS SDF: browse content


1
  <<    <    >    >>  

1:309930 C26H34N4O4
hit structure
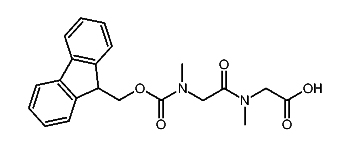
1:309931 C28H36N2O5
hit structure
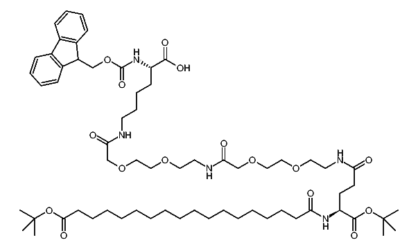
1:309932 C64H101N5O16
hit structure
1:309933 C24H21N3O8S
hit structure
1:309934 C26H34N4O4
hit structure
1:309935 C20H22N4O4
hit structure
1:309936 C20H22N4O4
hit structure
1:309937 C22H20N2O4
hit structure
1:309938 C24H21NO8S
hit structure
1:309939 C21H22N2O5
hit structure
1:309940 C24H27N3O6
hit structure
1:309941 C28H24N2O6
hit structure
1:309942 C28H26N2O6
hit structure
1:309943 C25H22N4O4
hit structure
1:309944 C46H69N3O8
hit structure
1:309945 C46H69N3O8
hit structure
1:309946 C27H34N2O5
hit structure
1:309947 C27H27NO5
hit structure
1:309948 C27H27NO5
hit structure
1:309949 C26H23NO6
hit structure
1:309950 C36H45NO5
hit structure
1:309951 C34H33NO7S2
hit structure
1:309952 C31H42N2O5
hit structure
1:309953 C29H37N3O9
hit structure
1:309954 C32H44N2O5
hit structure

1
  <<    <    >    >>  

entries in data collection: 403330