Home Browse Text SearchFunctional Group SearchStructure SearchPreferences Administration

selected data collection: 1

IRIS SDF: browse content


1
  <<    <    >    >>  

1:309155 C38H33NO5
hit structure
1:309156 C31H30N2O6
hit structure
1:309157 C28H29NO5
hit structure
1:309158 C43H34ClNO5
hit structure
1:309159 C25H23NO5
hit structure
1:309160 C20H21NO4
hit structure
1:309161 C29H24N2O4
hit structure
1:309162 C29H24N2O4
hit structure
1:309163 C29H24N2O4
hit structure
1:309164 C29H24N2O4
hit structure
1:309165 C29H24N2O4
hit structure
1:309166 C24H19NO4
hit structure
1:309167 C21H21NO5
hit structure
1:309168 C21H21NO5
hit structure
1:309169 C26H25NO5
hit structure
1:309170 C29H29NO6
hit structure
1:309171 C18H17NO4
hit structure
1:309172 C28H23NO4
hit structure
1:309173 C23H20N2O4
hit structure
1:309174 C21H23NO4
hit structure
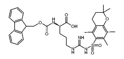
1:309175 C34H40N4O7S
hit structure
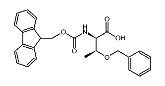
1:309176 C35H42N4O7S
hit structure
1:309177 C38H32N2O5
hit structure
1:309178 C22H21NO6
hit structure
1:309179 C23H25NO6
hit structure

1
  <<    <    >    >>  

entries in data collection: 413394