Home Browse Text SearchFunctional Group SearchStructure SearchPreferences Administration

selected data collection: 1

IRIS SDF: browse content


1
  <<    <    >    >>  

1:308580 C35H57N5O9S
hit structure
1:308581 C36H58ClN5O10S
hit structure
1:308582 C32H50ClN5O6S
hit structure
1:308583 C39H65N5O7S
hit structure
1:308584 C41H69N5O10S
hit structure
1:308585 C19H17N3O6
hit structure
1:308586 C21H21N3O7
hit structure
1:308587 C23H25N3O8
hit structure
1:308588 C27H33N3O10
hit structure
1:308589 C28H36N4O5S
hit structure
1:308590 C30H40N4O6S
hit structure
1:308591 C32H44N4O7S
hit structure
1:308592 C14H17F2NO4
hit structure
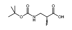
1:308593 C8H14FNO4
hit structure
1:308594 C8H14FNO4
hit structure
1:308595 C28H36F2N2O8
hit structure
1:308596 C20H21F2NO4
hit structure
1:308597 C14H16F9NO5
hit structure
1:308598 C14H16F9NO5
hit structure
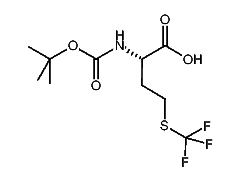
1:308599 C10H16F3NO4S
hit structure
1:308600 C10H17N3O4
hit structure
1:308601 C16H28N4O6
hit structure
1:308602 C11H19N3O4
hit structure
1:308603 C10H15N3O4
hit structure
1:308604 C10H16N4O4
hit structure

1
  <<    <    >    >>  

entries in data collection: 423458