Home Browse Text SearchFunctional Group SearchStructure SearchPreferences Administration

selected data collection: 1

IRIS SDF: browse content


1
  <<    <    >    >>  

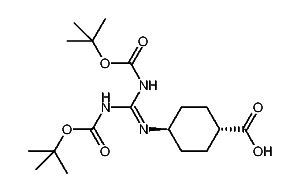
1:308280 C27H52N2O5
hit structure
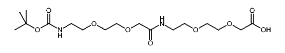
1:308281 C17H32N2O9
hit structure
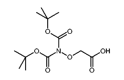
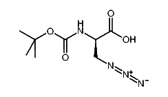
1:308282 C18H31N3O6
hit structure
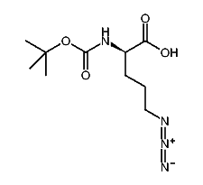
1:308283 C19H27N3O6
hit structure
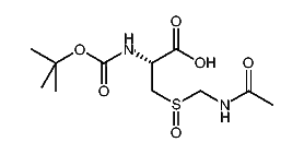
1:308284 C11H20N2O6S
hit structure
1:308285 C16H18F3N3O4
hit structure
1:308286 C25H24N2O5
hit structure
1:308287 C21H22N2O5
hit structure
1:308288 C17H33NO4
hit structure
1:308289 C29H40N4O7S
hit structure
1:308290 C20H23N3O4
hit structure
1:308291 C14H17Cl2NO5
hit structure
1:308292 C16H31NO4
hit structure
1:308293 C17H33NO4
hit structure
1:308294 C25H28N2O6
hit structure
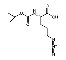
1:308295 C9H16N4O4
hit structure
1:308296 C9H16N4O4
hit structure
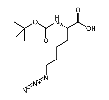
1:308297 C11H20N4O4
hit structure
1:308298 C11H20N4O4
hit structure
1:308299 C8H14N4O4
hit structure
1:308300 C8H14N4O4
hit structure
1:308301 C10H18N4O4
hit structure
1:308302 C10H18N4O4
hit structure
1:308303 C12H21NO7
hit structure
1:308304 C13H18N2O4
hit structure

1
  <<    <    >    >>  

entries in data collection: 428490