Home Browse Text SearchFunctional Group SearchStructure SearchPreferences Administration

selected data collection: 1

IRIS SDF: browse content


1
  <<    <    >    >>  

1:307023 C16H22N2O7S2
hit structure
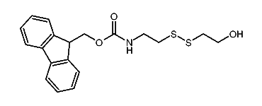
1:307024 C19H21NO3S2
hit structure
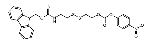
1:307025 C26H24N2O7S2
hit structure
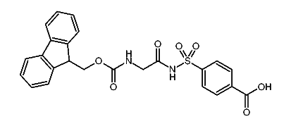
1:307026 C19H14N2O5S2
hit structure
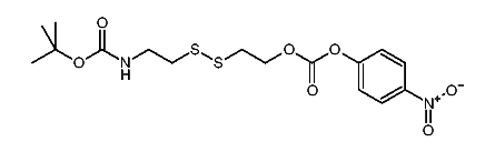
1:307027 C14H21NO3S2
hit structure
1:307028 C21H24N2O7S2
hit structure
1:307029 C24H23NO3S2
hit structure
1:307030 C9H11BrN2O5
hit structure
1:307031 C8H14N2O2S
hit structure
1:307032 C24H20N2O7S
hit structure
1:307033 C16H32ClN3O5
hit structure
1:307034 C9H9N3O2
hit structure
1:307035 C10H19NO5
hit structure
1:307036 C29H35ClN2O4
hit structure
1:307037 C10H22ClNO2
hit structure
1:307038 C14H30ClNO4
hit structure
1:307039 C10H20ClN3O2
hit structure
1:307040 C14H28ClN3O4
hit structure
1:307041 C16H26N2O2
hit structure
1:307042 C16H30N2O2
hit structure
1:307043 C18H34N2O2
hit structure
1:307044 C18H30N2O2
hit structure
1:307045 C29H31NO6
hit structure
1:307046 C30H29NO6
hit structure
1:307047 C28H29NO6
hit structure

1
  <<    <    >    >>  

entries in data collection: 317786