Home Browse Text SearchFunctional Group SearchStructure SearchPreferences Administration

selected data collection: 1

IRIS SDF: browse content


1
  <<    <    >    >>  

1:306248 C29H36Cl2N6O3
hit structure
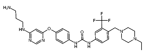
1:306249 C28H35F3N8O2
hit structure
1:306250 C26H23F3N4O4
hit structure
1:306251 C26H23F3N4O4
hit structure
1:306252 C21H20Cl2N4O3
hit structure
1:306253 C21H20Cl2N4O3
hit structure
1:306254 C21H17FN4
hit structure
1:306255 C20H20N4O2
hit structure
1:306256 C95H142N26O23S2
hit structure
1:306257 C57H78N12O16
hit structure
1:306258 C17H21N3O4S
hit structure
1:306259 C13H22N6O2S
hit structure
1:306260 C16H22N4O4S
hit structure
1:306261 C17H24N4O2S3
hit structure
1:306262 C28H45N5O6S3
hit structure
1:306263 C12H21N3O2S2
hit structure
1:306264 C23H42N4O6S2
hit structure
1:306265 C28H30N4O3S
hit structure
1:306266 C20H25N7O2S
hit structure
1:306267 C31H46N8O7S
hit structure
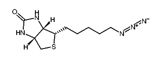
1:306268 C10H17N5OS
hit structure
1:306269 C12H18N2OS
hit structure
1:306270 C10H17N3O2S
hit structure
1:306271 C27H46O
hit structure
1:306272 C23H30N4O2S
hit structure

1
  <<    <    >    >>  

entries in data collection: 332882