Home Browse Text SearchFunctional Group SearchStructure SearchPreferences Administration

selected data collection: 1

IRIS SDF: browse content


1
  <<    <    >    >>  

1:303848 C15H28N2O6
hit structure
1:303849 C9H20N2O2
hit structure
1:303850 C8H18N2O2
hit structure
1:303851 C10H22N2O2
hit structure
1:303852 C15H32N2O4
hit structure
1:303853 C11H24N2O4
hit structure
1:303854 C7H16N2O2
hit structure
1:303855 C14H22N2O2
hit structure
1:303856 C23H26BrN2O2P
hit structure
1:303857 C9H18N2O2
hit structure
1:303858 C9H18N2O2
hit structure
1:303859 C11H22N2O2
hit structure
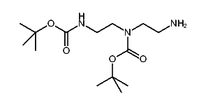
1:303860 C13H26N2O2
hit structure
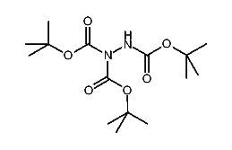
1:303861 C14H29N3O4
hit structure
1:303862 C14H29N3O4
hit structure
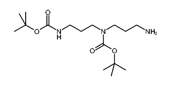
1:303863 C16H33N3O4
hit structure
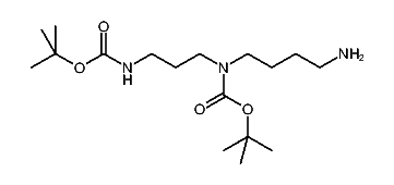
1:303864 C16H33N3O4
hit structure
1:303865 C17H35N3O4
hit structure
1:303866 C17H35N3O4
hit structure
1:303867 C10H22N4O3
hit structure
1:303868 C24H50N4O4
hit structure
1:303869 C9H20N2O2S2
hit structure
1:303870 C13H28N2O2
hit structure
1:303871 C14H30N2O2
hit structure
1:303872 C15H32N2O2
hit structure

1
  <<    <    >    >>  

entries in data collection: 418426