Home Browse Text SearchFunctional Group SearchStructure SearchPreferences Administration

selected data collection: 1

IRIS SDF: browse content


1
  <<    <    >    >>  

1:303548 C35H57N5O9S
hit structure
1:303549 C36H58ClN5O10S
hit structure
1:303550 C32H50ClN5O6S
hit structure
1:303551 C39H65N5O7S
hit structure
1:303552 C41H69N5O10S
hit structure
1:303553 C19H17N3O6
hit structure
1:303554 C21H21N3O7
hit structure
1:303555 C23H25N3O8
hit structure
1:303556 C27H33N3O10
hit structure
1:303557 C28H36N4O5S
hit structure
1:303558 C30H40N4O6S
hit structure
1:303559 C32H44N4O7S
hit structure
1:303560 C14H17F2NO4
hit structure
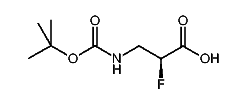
1:303561 C8H14FNO4
hit structure
1:303562 C8H14FNO4
hit structure
1:303563 C28H36F2N2O8
hit structure
1:303564 C20H21F2NO4
hit structure
1:303565 C14H16F9NO5
hit structure
1:303566 C14H16F9NO5
hit structure
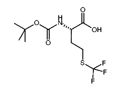
1:303567 C10H16F3NO4S
hit structure
1:303568 C10H17N3O4
hit structure
1:303569 C16H28N4O6
hit structure
1:303570 C11H19N3O4
hit structure
1:303571 C10H15N3O4
hit structure
1:303572 C10H16N4O4
hit structure

1
  <<    <    >    >>  

entries in data collection: 423458