Home Browse Text SearchFunctional Group SearchStructure SearchPreferences Administration

selected data collection: 1

IRIS SDF: browse content


1
  <<    <    >    >>  

1:303398 C43H44N2O7
hit structure
1:303399 C16H22O4
hit structure
1:303400 C11H16OS
hit structure
1:303401 C31H31NO3
hit structure
1:303402 C18H22O3
hit structure
1:303403 C11H15BrO
hit structure
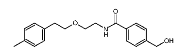
1:303404 C17H25NO3
hit structure
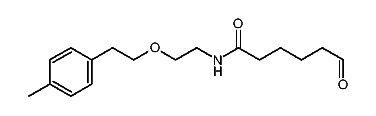
1:303405 C18H30O5
hit structure
1:303406 C19H22O4
hit structure
1:303407 C18H20O3
hit structure
1:303408 C19H23NO3
hit structure
1:303409 C43H44N2O7
hit structure
1:303410 C16H22O4
hit structure
1:303411 C11H16OS
hit structure
1:303412 C31H31NO3
hit structure
1:303413 C18H22O3
hit structure
1:303414 C11H16O2
hit structure
1:303415 C11H16O2
hit structure
1:303416 C54H53N3O9
hit structure
1:303417 C37H35NO7
hit structure
1:303418 C38H37NO7
hit structure
1:303419 C44H44N2O4
hit structure
1:303420 C43H41NO7
hit structure
1:303421 C79H157N7
hit structure
1:303422 C19H28N2O6
hit structure

1
  <<    <    >    >>  

entries in data collection: 423458