Home Browse Text SearchFunctional Group SearchStructure SearchPreferences Administration

selected data collection: 1

IRIS SDF: browse content


1
  <<    <    >    >>  

1:301566 C34H38N4O6
hit structure
1:301567 C48H44N4O4S
hit structure
1:301568 C35H40N4O6
hit structure
1:301569 C50H47N5O5
hit structure
1:301570 C28H28N4O4
hit structure
1:301571 C51H46N6O4
hit structure
1:301572 C33H38N4O4
hit structure
1:301573 C32H36N4O4
hit structure
1:301574 C37H45N5O6
hit structure
1:301575 C31H34N4O4S
hit structure
1:301576 C35H34N4O4
hit structure
1:301577 C31H32N4O4
hit structure
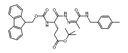
1:301578 C33H38N4O5
hit structure
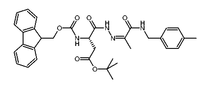
1:301579 C34H40N4O5
hit structure
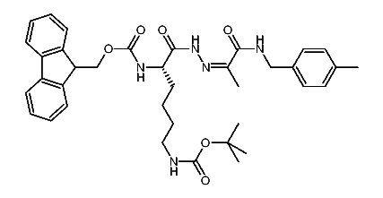
1:301580 C42H43N5O6
hit structure
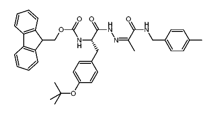
1:301581 C39H42N4O5
hit structure
1:301582 C31H34N4O4
hit structure
1:301583 C10H14O3
hit structure
1:301584 C11H15NO3
hit structure
1:301585 C35H36N2O7
hit structure
1:301586 C3H9NO
hit structure
1:301587 C23H22ClNO2
hit structure
1:301588 C23H22ClNO2
hit structure
1:301589 C23H22ClNO2
hit structure
1:301590 C39H45ClN4O5S
hit structure

1
  <<    <    >    >>  

entries in data collection: 322818