Home Browse Text SearchFunctional Group SearchStructure SearchPreferences Administration

selected data collection: 1

IRIS SDF: browse content


1
  <<    <    >    >>  

1:301216 C29H36Cl2N6O3
hit structure
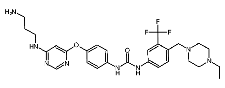
1:301217 C28H35F3N8O2
hit structure
1:301218 C26H23F3N4O4
hit structure
1:301219 C26H23F3N4O4
hit structure
1:301220 C21H20Cl2N4O3
hit structure
1:301221 C21H20Cl2N4O3
hit structure
1:301222 C21H17FN4
hit structure
1:301223 C20H20N4O2
hit structure
1:301224 C95H142N26O23S2
hit structure
1:301225 C57H78N12O16
hit structure
1:301226 C17H21N3O4S
hit structure
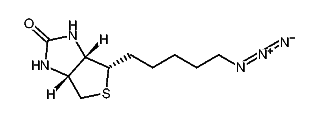
1:301227 C13H22N6O2S
hit structure
1:301228 C16H22N4O4S
hit structure
1:301229 C17H24N4O2S3
hit structure
1:301230 C28H45N5O6S3
hit structure
1:301231 C12H21N3O2S2
hit structure
1:301232 C23H42N4O6S2
hit structure
1:301233 C28H30N4O3S
hit structure
1:301234 C20H25N7O2S
hit structure
1:301235 C31H46N8O7S
hit structure
1:301236 C10H17N5OS
hit structure
1:301237 C12H18N2OS
hit structure
1:301238 C10H17N3O2S
hit structure
1:301239 C27H46O
hit structure
1:301240 C23H30N4O2S
hit structure

1
  <<    <    >    >>  

entries in data collection: 332882